Phlog
nearly decomposable
Menu
Skip to content
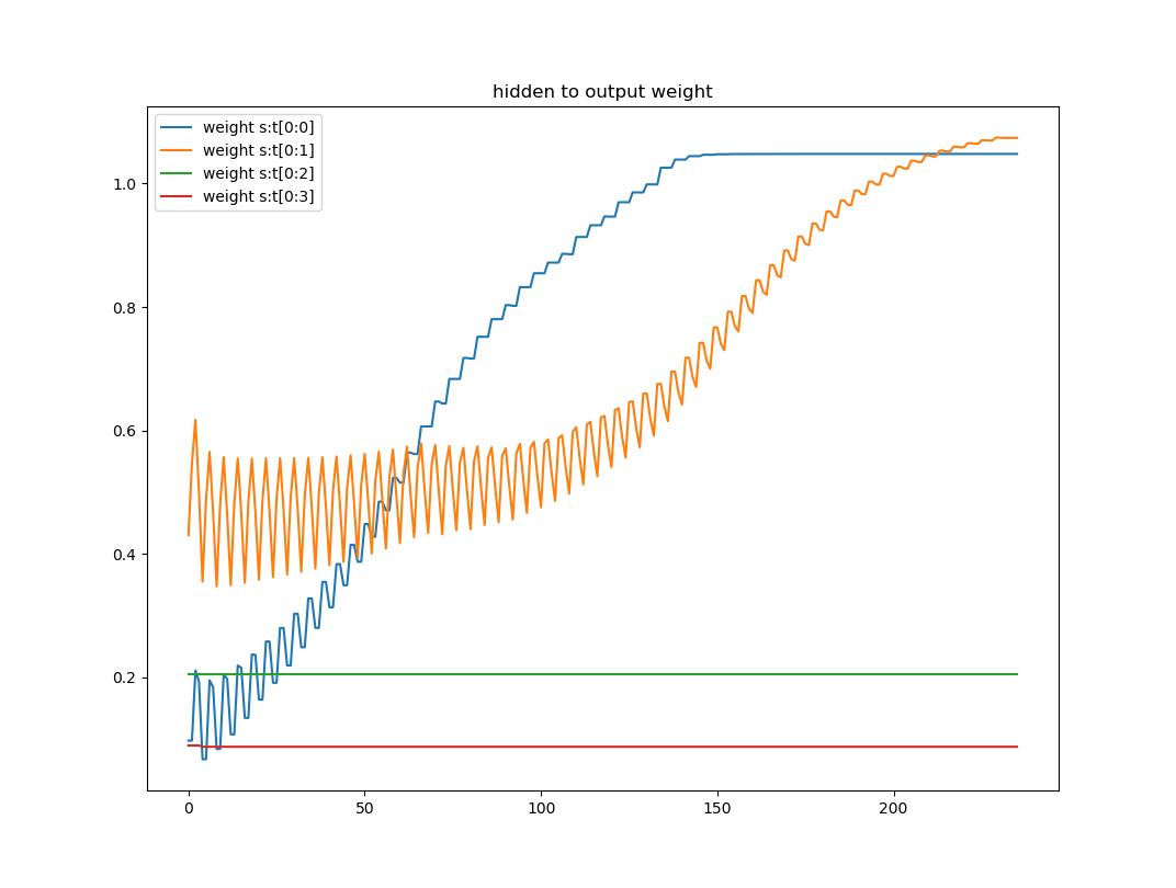
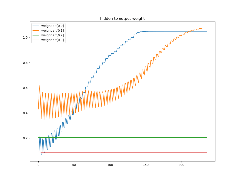
hidden2output
← Previous
Next →
Leave a comment
Cancel reply
Δ
Comment
Subscribe
Subscribed
Phlog
Join 25 other subscribers
Sign me up
Already have a WordPress.com account?
Log in now.
Phlog
Subscribe
Subscribed
Sign up
Log in
Copy shortlink
Report this content
View post in Reader
Manage subscriptions
Collapse this bar